首 页
学院概况
学院简介
院长致辞
现任领导
知名学者及科研骨干
组织机构
系所
办公室
重点实验室
师资队伍
博士生导师
硕士生导师
化学与化学工程系
生物科学与工程系
生物工程与传感技术研究中心
院办
教学科研
专业设置
学术方向
实验平台
科研项目及获奖
实验仪器
实验室安全
党政工作
组织建设
规章制度
教代、教授会
教工之家
理论学习园地
关工委
学生工作
团队建设
党建团建
资助工作
评奖评优
安全工作
学生组织
学生活动
规章制度
学习园地
学子风采
招生就业
本科生招生
研究生招生
就业概况
就业信息
就业政策
就业新闻
平台链接
人才招聘
高级人才引进
招聘信息
国际合作
学生国际交流
科研国际合作
校友工作
组织机构
校友风采
校友动态
流金岁月
学生工作
团队建设
党建团建
资助工作
评奖评优
安全工作
学生组织
学生活动
规章制度
学习园地
学子风采
评奖评优
当前位置:
首页
>
学生工作
>
评奖评优
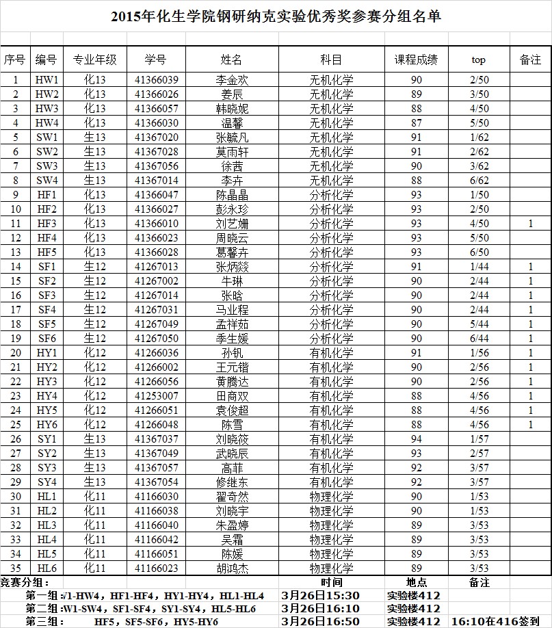
化学与生物工程学院纳克奖学金申请实验优秀奖参赛分组名单
发布时间:2015-03-19 作者: 访问量: